Молитвы абитуриентов, составляющих ВНО/НМТ по математике, были услышаны и в тестовую тетрадь с 2021 года кроме блока задач начали добавлять блок с формулами, которые можно использовать во время экзамена. Это значительно облегчило подготовку к мультипредметному тесту, поскольку школьникам больше не нужно наизусть учить все формулы. Однако своеобразная шпаргалка поможет не всем. Мало видеть ее перед глазами – нужно ее понимать. В этом материале мы собрали все формулы, которые будут на НМТ по математике в 2026 году, а также добавили примеры задач с объяснением, как использовать эти формулы.
Формулы, которые будут на ЗНО/НМТ
Таблица формул для НМТ по математике разделена на две части – алгебра и геометрия. Всего шпаргалка состоит из трех листов формата А4 и выглядит так. Разберем обе части с формулами по темам.
Формулы из алгебры
Таблица квадратов от 10 до 49
Это таблица, содержащая квадраты чисел от 10 до 49. Квадрат числа – это результат умножения числа на себя. Такая таблица помогает легко найти квадраты чисел в указанном диапазоне без необходимости их расчета вручную.
Например, вам нужно узнать квадрат числа 36. Для этого в столбце с десятками выбираем 3, а в столбце с единицами выбираем 6. В строке, где они соединяются, будет значение квадрата (1296).

Читайте также: Как понять математику: советы для взрослых и детей
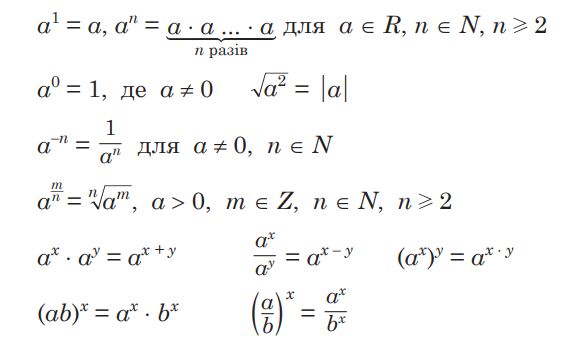
Таблица сокращенного умножения
Формулы сокращенного умножения – это математические формулы, помогающие упрощать выражения или разлагать их на произведения биномов (выражений с двумя членами). Они полезны для алгебраических расчетов, преобразований, упрощения сложных выражений и уравнений.

На НМТ может случиться задача, при которой нужно упростить уравнение, используя формулы сокращенного умножения. К примеру:
(x + 3)² – (x – 2)²
Решение:
- Разлагаем первое слагаемое (x + 3)², используя формулу (a + b)² = a² + 2ab + b². Получаем: x²+6x+9.
- Разлагаем второе слагаемое (x – 2)² по формуле (a – b)² = a² – 2ab + b². Получаем: x² – 4x+4.
- Теперь вычтем второе слагаемое из первого: (x² + 6x + 9) – (x² – 4x + 4) = x² + 6x + 9 – x² + 4x – 4.
- Проведем упрощение: 10x+5
Следовательно, упрощенное выражение для (x + 3)² – (x – 2)² равно 10x + 5.
Квадратное уравнение
Квадратное уравнение – это уравнение, в котором переменная приподнята к квадрату и содержит коэффициенты. Обычно квадратное уравнение выглядит так:
ax² + bx + c = 0, где:
- x – неизвестная переменная, которую мы пытаемся найти;
- a, b и c – коэффициенты, где a не равно 0 (иначе это не будет квадратным уравнением).

Табличка степеней
Степень – это числовой показатель, указывающий, сколько раз определенное число (основа) возвышается до степени. В математических выражениях степень обозначается как верхний индекс справа от основания. Например, в выражении a⁵, цифра 5 – это степень, a – это основание. Это означает, что a возносится к степени 5, то есть умножается сама на себя 5 раз.

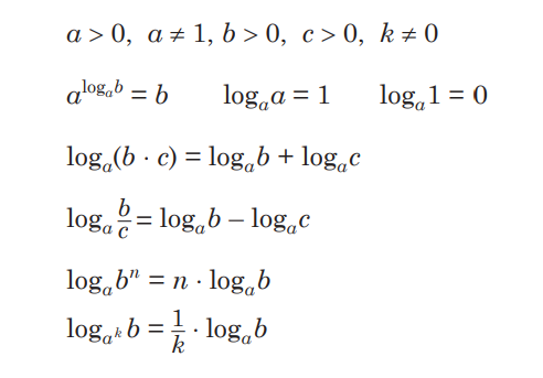
Логарифмы
Логарифмы – это математическая функция, что используется для определения степени, к которой нужно преподнести определенное число (основу логарифма), чтобы получить другое число. Например, log₁₀(1000) = 3, поскольку 10 в третьей степени равно 1000.

Формулы арифметической и геометрической прогрессий
Арифметическая прогрессия – это последовательность чисел, где каждое последующее число образуется сложением одного и того же числа (разницы) к предыдущему. Эта разница называется разницей арифметической прогрессии и обозначается как d.
Геометрическая прогрессия – это последовательность чисел, где каждое последующее число образуется умножением предыдущего на фиксированный множитель, называемый знаменателем геометрической прогрессии. Знаменатель геометрической прогрессии обозначается как q.

Если вы не можете похвастаться отличными знаниями по математике, однако планируете сдавать НМТ в 2026 году, стоит записаться на дополнительные занятия с репетитором по математике в BUKI School. Индивидуальный подход и правильная программа занятий, настроенная на ваши потребности – именно то, что нужно для качественной подготовки к НМТ.
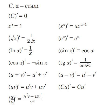
Производная функции
Производная функции – это способ измерения, показывающий, насколько быстро меняется функция при незначительных изменениях аргумента. Другими словами, она указывает, как стремительно либо медлительно изменяется функция в каждой конкретной точке. К примеру, если мы имеем функцию, которая представляет скорость автомобиля, то ее производная покажет нам, насколько быстро меняется скорость автомобиля в определенный момент времени.

Читайте также: Интересные математические загадки и задачи
Формулы по геометрии
Тригонометрия
Главные тригонометрические формулы связаны с тремя функциями: синус, косинус и тангенс. Синус угла в прямоугольном треугольнике определяется отношением противоположной стороны к гипотенузе, косинус – отношением прилегающей стороны к гипотенузе, тангенс – отношением противоположной стороны к близлежащей. Их находят по следующим формулам:

Ниже приведена таблица значений тригонометрических функций некоторых углов:

Формулы для треугольников
- Произвольный треугольник – это любой треугольник, который не является равносторонним или равнобедренным.
- Прямоугольный треугольник – это треугольник, у которого один из углов прямой, то есть равен 90 градусов. В прямоугольном треугольнике есть 2 катета (более короткие стороны) и гипотенуза (более длинная сторона).
В справочных материалах по математике есть формулы для определения периметра и площади, а также теорема Пифагора, которую используют для определения сторон в прямоугольном треугольнике.

Формулы для четырехугольников
Основные свойства четырехугольников:
- Параллелограмм:
- В параллелограмме все противоположные стороны параллельны (имеют одинаковый наклон).
- Противоположные углы параллелограмма равны.
- Сумма углов параллелограмма равна 360 градусам.
- Диагонали параллелограмма пересекаются посередине.
- Прямоугольник:
- У прямоугольника все углы равны 90 градусам, то есть он имеет четыре прямых угла.
- Противоположные стороны прямоугольника параллельны.
- Диагонали прямоугольника равны по длине и пересекаются посередине под прямым углом.
- Ромб:
- У ромба все стороны имеют одинаковую длину.
- Противоположные углы ромба равны.
- Диагонали ромба перпендикулярны друг другу и пересекаются в середине ромба.
- Трапеция:
- Трапеция имеет одну пару параллельных сторон и одну пару непараллельных сторон.
- Углы трапеции не обязательно равны.
- Верхняя и нижняя стороны трапеции могут иметь разную длину.
Формулы окружности и круга
Окружность – это множество всех точек, расположенных на одинаковом расстоянии от центральной точки, называемой центром окружности. Круг – это плоскость, ограниченная окружностью (внешним «контуром») круга.

Формулы объемных фигур и тел
Здесь приведены формулы определения площади и объема таких объемных фигур: прямая призма, правильная пирамида, цилиндр, конус, шар (сфера).

Координаты и векторы
Вектором называется направленный отрезок. Координаты вектора представляют собой координаты конечной точки этого вектора, если вектор расположен так, что его начало располагается в начале координат.

Отлично составленное НМТ – это залог поступления на бюджет в топовые университеты Украины. Если вам нужна помощь в подготовке к тестированию, запишитесь на индивидуальные уроки с репетиторами в школе БукиСкул. У нас есть репетиторы по математике, украинскому, английскому, истории Украины и другим предметам школьной программы.








