Молитви абітурієнтів, які складають НМТ із математики були почуті й до тестового зошита з 2021 року крім блоку завдань почали додавати блок із формулами, які можна використовувати під час іспиту. Це значно полегшило підготовку до мультипредметного тесту, оскільки школярам більше не потрібно напам’ять вчити всі формули. Проте, своєрідна шпаргалка допоможе не всім. Мало бачити її перед очима – потрібно її розуміти. У цьому матеріалі ми зібрали всі формули, які будуть на НМТ із математики у 2024 році, а також додали приклади завдань із поясненням, як ці формули використовувати.
Формули, які будуть на ЗНО/НМТ
Таблицю формул для НМТ із математики поділено на дві частини – алгебра та геометрія. Усього шпаргалка складається із трьох аркушів формату А4 й має такий вигляд. Розберемо обидві частини з формулами за темами.
Формули з алгебри
Таблиця квадратів від 10 до 49
Це таблиця, яка містить квадрати чисел від 10 до 49. Квадрат числа – це результат множення числа на себе. Така таблиця допомагає легко знайти квадрати чисел у вказаному діапазоні без необхідності їхнього розрахування вручну.
Наприклад, вам потрібно дізнатися квадрат числа 36. Для цього в стовпчику із десятками обираємо 3, а в стовпчику з одиницями обираємо 6. У рядку, де вони з’єднуються, буде значення квадрата (1296).

Читайте також: Як зрозуміти математику: поради для дорослих та дітей
Таблиця скороченого множення
Формули скороченого множення – це математичні формули, які допомагають спрощувати вирази або розкладати їх на добутки біномів (виразів із двома членами). Вони корисні для алгебраїчних розрахунків, перетворень, спрощення складних виразів та розв’язування рівнянь.

На НМТ може трапитися завдання, у якому потрібно спростити рівняння, використовуючи формули скороченого множення. Наприклад:
(x + 3)² – (x – 2)²
Рішення:
- Розкладаємо перший доданок (x + 3)², використовуючи формулу (a + b)² = a² + 2ab + b². Отримуємо: x² + 6x + 9.
- Розкладаємо другий доданок (x – 2)² за формулою (a – b)² = a² – 2ab + b². Отримуємо: x² – 4x + 4.
- Тепер віднімемо другий доданок від першого: (x² + 6x + 9) – (x² – 4x + 4) = x² + 6x + 9 – x² + 4x – 4.
- Проведемо спрощення: 10x + 5
Отже, спрощений вираз для (x + 3)² – (x – 2)² дорівнює 10x + 5.
Квадратне рівняння
Квадратне рівняння – це рівняння, у якому змінна піднесена до квадрата й містить коефіцієнти. Зазвичай квадратне рівняння виглядає так:
ax² + bx + c = 0, де:
- x – невідома змінна, яку ми намагаємося знайти;
- a, b і c – коефіцієнти, де a не дорівнює 0 (інакше це не буде квадратним рівнянням).

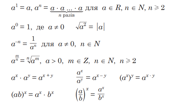
Табличка степенів
Степінь – це числовий показник, який вказує, скільки разів певне число (основа) підноситься до степеня. У математичних виразах степінь позначається як верхній індекс праворуч від основи. Наприклад, у виразі a⁵, цифра 5 – це степінь, a – це основа. Це означає, що a підноситься до степеня 5, тобто множиться сама на себе 5 разів.

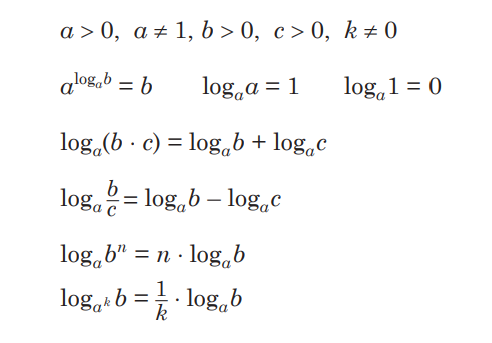
Логарифми
Логарифми – це математична функція, яка використовується для визначення ступеня, до якого потрібно піднести певне число (основу логарифма), щоб отримати інше число. Наприклад, log₁₀(1000) = 3, оскільки 10 в третій степені дорівнює 1000.

Формули арифметичної та геометричної прогресій
Арифметична прогресія – це послідовність чисел, де кожне наступне число утворюється додаванням одного й того ж числа (різниці) до попереднього. Ця різниця називається різницею арифметичної прогресії і позначається як d.
Геометрична прогресія – це послідовність чисел, де кожне наступне число утворюється множенням попереднього на фіксований множник, який називається знаменником геометричної прогресії. Знаменник геометричної прогресії позначається як q.

Якщо ви не можете похизуватися відмінними знаннями з математики, проте плануєте складати НМТ у 2024 році, варто записатися на додаткові заняття з репетитором математики в БукіСкул. Індивідуальний підхід та правильна програма занять, налаштована під ваші потреби – саме те, що потрібно для якісної підготовки до НМТ.
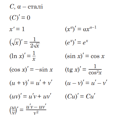
Похідна функції
Похідна функції – це спосіб вимірювання, який показує, наскільки швидко змінюється функція при незначних змінах аргумента. Іншими словами, вона вказує, наскільки стрімко або повільно змінюється функція в кожній конкретній точці. Наприклад, якщо ми маємо функцію, яка представляє швидкість автомобіля, то її похідна покаже нам, наскільки швидко змінюється швидкість автомобіля в певний момент часу.

Читайте також: Цікаві математичні загадки та задачі
Формули з геометрії
Тригонометрія
Основні тригонометричні формули пов’язані із трьома функціями: синус, косинус і тангенс. Синус кута α в прямокутному трикутнику визначається відношенням протилежної сторони до гіпотенузи, косинус – відношенням прилеглої сторони до гіпотенузи, тангенс – відношенням протилежної сторони до прилеглої. Їх знаходять за такими формулами:

Нижче наведена таблиця значень тригонометричних функцій деяких кутів:

Формули для трикутників
- Довільний трикутник – це будь-який трикутник, який не є рівностороннім або рівнобедреним.
- Прямокутний трикутник – це трикутник, у якого один із кутів є прямим, тобто дорівнює 90 градусів. У прямокутному трикутнику є 2 катети (коротші сторони) та гіпотенуза (довша сторона).
У довідникових матеріалах із математики є формули для визначення периметра та площі, а також теорема Піфагора, яку використовують для визначення сторін у прямокутному трикутнику.

Формули для чотирикутників
Основні властивості чотирикутників:
- Паралелограм:
- У паралелограма всі протилежні сторони паралельні (мають однаковий нахил).
- Протилежні кути паралелограма рівні.
- Сума кутів паралелограма дорівнює 360 градусів.
- Діагоналі паралелограма перетинаються посередині.
- Прямокутник:
- У прямокутника всі кути дорівнюють 90 градусів, тобто він має чотири прямі кути.
- Протилежні сторони прямокутника паралельні.
- Діагоналі прямокутника рівні за довжиною та перетинаються посередині під прямим кутом.
- Ромб:
- У ромба всі сторони мають однакову довжину.
- Протилежні кути ромба рівні.
- Діагоналі ромба перпендикулярні одна до одної та перетинаються посередині ромба.
- Трапеція:
- Трапеція має одну пару паралельних сторін та одну пару непаралельних сторін.
- Кути трапеції не обов’язково рівні.
- Верхня і нижня сторони трапеції можуть мати різні довжини.
Формули кола та круга
Коло – це множина всіх точок, які розташовані на однаковій відстані від центральної точки, яку називають центром кола. Круг – це площина, обмежена окружністю (зовнішнім «контуром») кола.

Формули об’ємних фігур та тіл
Тут наведені формули для визначення площі та об’єму таких об’ємних фігур: пряма призма, правильна піраміда, циліндр, конус, куля (сфера).

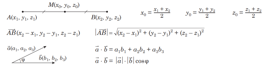
Координати та вектори
Вектором називається спрямований відрізок. Координатами вектора є координати кінцевої точки цього вектора, якщо вектор розташований так, що його початок розташовується на початку координат.

Відмінно складене НМТ – це запорука вступу на бюджет до топових університетів України. Якщо вам потрібна допомога в підготовці до тестування, запишіться на індивідуальні уроки з репетиторами в онлайн-школі BUKI School. У нас є репетитори з математики, української, англійської, історії України та інших предметів шкільної програми.








